🇺🇸💥 46% 관세 폭탄! 베트남, 제대로 겨냥당했다
📅 2025년 4월 2일, 도널드 트럼프 미국 대통령은 180여 개국을 대상으로 ‘상호 관세(Reciprocal Tariffs)’를 전격 발표했다.

이 '정치적인 관세'의 1차 목표는 누구나 아는 것처럼 🇨🇳중국이었지만, 곧바로 주목받은 나라는 바로 🇻🇳베트남이었다.
베트남의 상호 관세 46%는 캄보디아(49%), 라오스(48%), 마다가스카르(47%)에 이어 4번째로 높은 수치.
하지만 캄보디아, 라오스, 마다가스카르의 GDP와 베트남의 GDP를 비교해본다면 중국 다음으로 큰 타격을 입은 국가는 베트남이라 할 수 있다. (2023년 기준 캄보디아 428억 달러, 라오스 158억 달러, 마다가스카르 160억 달러, 베트남 4297억 달러)
중국을 겨냥한 정책에 베트남이 단순히 유탄을 맞은 것일까? 아니면 베트남 역시 중국 못지 않는 표적인 것일까?
📊 베트남에게 주어진 총 46%라는 ‘관세 폭탄’은 단순한 무역 갈등이 아니라 전략적 압박의 서막이다.
📌 상호 관세?
- 상호 관세란 한 국가가 자국 제품에 부과한 관세와 동일한 수준의 보복 관세를 부과하는 방식.
- 공정 무역을 추구하고 국내 산업을 보호한다는 명분으로 활용됨.
- 트럼프 행정부는 이 방식을 정치적·전략적 도구로 전환시킴.
- '불공정 무역에 대한 대응'이라는 의미에서 '상호 관세'이며, 이는 국가 간의 관계 뿐 아니라 자신의 지지자에게 보내는 시그널이기도 함.
📍 4월 5일: 기본 관세 10% 적용국 발효
📍 4월 9일: 상호 관세 적용국 발효 (46% 관세 포함)



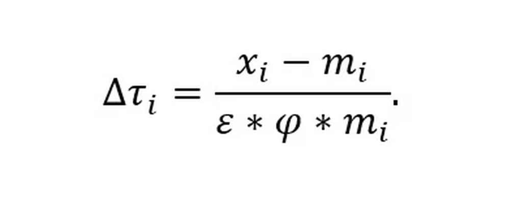
🧮 계산식이 가지는 의미

USTR에서 공개한 관세율 책정 공식의 요소들은 다음과 같다.
- x = 해당국의 대미 수출
- m = 해당국의 대미 수입
- ε = 가격 변화 시 수입 수요의 민감도
- φ = 관세가 가격에 미치는 영향
👉🏼 이 공식은 언뜻 보면 체계적인 듯하지만, 실상 양자 무역에서 ‘공정’의 개념을 재정의하는 철학적 선언에 가까워 보인다.
이로 인해 해당 공식의 실질성에 많은 이들이 의문을 품었으며, 제임스 수로위키(James Surowiecki) 같은 전문가들은 [무역흑자 ÷ 해당국 수출액 ÷ 2]의 단순한 형태의 계산이었을 것이라고 보고 있다.
일례로 EU의 경우를 보면:
- EU의 대미 무역흑자: 2356억 달러
- EU의 대미 수출: 6058억 달러
- 2356 ÷ 6058 ≒ 38.8% → 절반 ≒ 19.5%
→ 실제 EU에 부과된 관세율과 거의 일치(20%)
단순 형태의 계산법 때문에, 실상은 중국 타격용 수치 조작에 가깝다는 분석도 존재.
기존에 중국에게 10%의 관세 두 차레를 부과하여, 기본 관세 20%인 상황에서 이를 총 50% 이상으로 만들기 위해
추가할 30% 이상에 해당하는 수치를 뽑으려 간편한 형태를 도출한 것으로 보인다는 것이다.
그리고 이 계산식을 세계에 일괄적으로 적용을 한 결과가 이번 발표라는 것이다.
이를 🇻🇳베트남에 적용해 보면:
- 베트남의 대미 수출: 1366억 달러
- 베트남의 대미 수입: 131억 달러
- 무역흑자: 1235억 달러
→ 1235 / 1366 ≒ 90.4% → 절반 ≒ 46%
→ 이 수치가 곧 “베트남이 90%의 관세를 미국에 부과한다”는 트럼프의 논리 근거가 된다.
이 수치는 계산식에서 도출된 것이지만, 미국의 베트남에 대한 '불신감'이 어느 정도 반영된 것이라 볼 수 있다.
🔍 미국의 의심 1. ‘중국의 우회 통로’
미국은 베트남을 중국 제품의 우회 수출 기지로 강하게 의심해왔다.
- 중국 기업의 위장 투자 후, 베트남에서 조립만 거쳐 ‘Made in Vietnam’ 라벨 부착
- 2023~2024년: 70건 이상의 원산지 세탁 사례 적발
- 하이퐁·박닌·흥옌 등지: 중국계 공장 밀집 → 미국 수출 집중
📸 카카오톡 오픈채팅방에서 이런 '조선족 여성 채용' 공고가 돌게 된 궁극적인 이유도 여기에서 기인한다.

🔍 미국의 의심 2. ‘환율조작국 의심과 통화 개입’
미국의 직접적인 언급은 없었지만, 강하게 작용했을 가능성이 높은 것이 바로 '환율 조작'이다.
실제로 트럼프 대통령이 직접 들고 발표를 한 '상호 관세' 차트 "미국에 대한 실질적 관세"에는 '환율조작 및 무역 장벽을 포함한다'고 되어 있다. 이 역시 기본적으로 중국을 겨냥한 부분이지만 베트남도 피해갈 수 없는 부분이었다.
- 2024년 베트남의 무역 흑자: 전년 대비 +18% 증가 (대미 흑자국 4위에 등극)
- 급등 원인의 제일 큰 부분 🇻🇳 동화(VND) 약세 → 미국 측 “고의적 환율 개입”으로 판단
- 베트남 중앙은행 경제 충격 완화 목적이라 주장, 트럼프 행정부는 이를 “공정 경쟁 파괴”로 해석
👉 참고 기사
💥 베트남은 꾸준히 환율 조작 의심을 샀다. 그리고 과거 2020년에도 트럼프 행정부에 의해 베트남은 환율조작국으로 지정된 전력이 있다.
🎋 대나무 외교의 허상과 의심 증폭
<대나무 외교(Ngoại giao cây tre)>
2024년 서거한 응우옌 푸 쫑(Nguyễn Phú Trọng) 전 총비서가 2016년 처음 제시한 개념.
‘뿌리는 단단하고, 줄기는 유연하며, 가지는 민첩하게 움직인다’는 '대나무'를 베트남 외교에 비견
→ ✔️ 뿌리: 정의, 인도주의, 평화, 민족 이익 ✔️ 줄기: 겸손, 유연함, 실용주의 ✔️ 가지: 상황에 따라 적극적 대응, 다자주의
강대국 사이에서 살아남기 위핸 베트남의 중립적 생존 전략
하지만 실제로는?
- 러시아의 우크라이나 침공 당시: 유엔의 대러 비난 결의 및 인도주의 결의에서 기권 (중립 표방) → 국내 친러 여론 조성 및 친우크라이나 행사 방해
- 중국과의 전략적, 정책적 밀착.
- 베트남 동해 문제에 있어서만 미국과 전략적 연대.
📌 베트남의 외교는 전통적인 공산 동맹과의 유대 관계를 숨기기 위해 중립을 가장한 것이며, 전략적 회피와 일정한 방향 없이 유불리에 따른 취사선택에 가까운 행보로 인식되었다. 그렇게 베트남의 외교 정책을 근본부터 의심하는 시선이 늘어나기 시작했다.
🔗 중국과의 전략적 결합
중국과는 전통적으로 긴밀한 관계였으며, 당 차원에서 역사적인 유대감을 가지고 있다.
하지만 미국과 중국의 갈등이 격화되고 있음에도, 항상 가장하던 '중립'을 벗어나 중국과 더욱 적극적으로 결합을 하는 모습을 보여주어 미국의 신경을 자극했다.
베트남은 중국 기업 우회로의 역할에서 그치는 게 아니라, 중국의 정책과 전략에서 일정 역할을 담당하는 파트너의 역할을 했다.
🛤️ 철도
- 현 시점 북부 산간 지역 가장 큰 프로젝트가 될 예정인 철도 사업.
- 2025년 2월 19일, 베트남 국회가 중국 국경까지 연결되는 8억 달러 규모의 전략 철도 건설안 통과시킴.
- 약 390km의 철로, 중국-베트남 국경 구간인 허커우(야오족 자치현, 중국)~라오까이(Lào Cai, 베트남) 구간의 연결선과도 연계.
- 구간: 라오까이에서 수도인 하노이(Hà Nội)를 거쳐 하이퐁(Hải Phòng)의 항구.
- 삼성, 폭스콘, 페가트론 등의 글로벌 제조업 거점과 연결 → 중국 부품 수급 루트의 안정성.
- 중국 외교부는 “이 연결선의 조속한 건설을 함께 추진 중”이라고 밝힘.
- 중국의 일대일로(BRI) 전략과 겹치는 전략.
- 중국 자금 일부 투입 예정 – 중국발 자금/기술 의존 논란 예상.


🛫 항공
- 중국의 국영 항공기 제조사인 COMAC(Commercial Aircraft Corporation of China)에서 제작한 항공기의 도입 및 운영 추진.
- 2025년 1월, 베트남 정부는 중국산 항공기가 국내에서 운항할 수 있도록 규제 장벽을 완화하는 방안
- 비엣젯 등 국내 항공사에 중국 항공기 투입 계획 → 하노이(Hà Nội)/호치민(TP.HCM)-꼰다오(Côn Đảo) 노선에 2대를 임대해 투입하는 구체적인 방안.
⚡ 전력
- 중국 남방전망공사(China Southern Power Grid Company)와 EVN의 2025년 전력 구매 계약 완료.
- 2026~2030년 협력 계획도 추진 중.
- 지난 20년간 국경을 넘는 전력 협력을 지속. 현재까지 총 423억 kWh의 전력 교환.
🤝 이밖에도 다양한 분야에서 중국과 베트남은 전략적 파트너쉽을 발휘하고 있다.
🔥 러시아와의 협력 – 미국의 제재는 무시?
- 🇷🇺 2025년 1월, 러시아 국영 원자력기업 로사톰과 MOU 체결
- Ninh Thuận에 시도하다 중지한 원자력 건설 프로젝트 재개 목적.
- 연구용, 상용 원자력 기술 공유 등의 내용.
- 미국·영국의 제재 대상임에도 협력 발표 (심지어 25년 1월 러시아 에너지 기업들에 대한 미국의 추가 제재 발표)
🇰🇵 북한과의 유대 – 또 하나의 의심
- 2025년 베트남-북한 관계 75주년을 맞이하며, 작년부터 당 차원에서부터 각 부처 차원에서 협력을 강조하며 전통적인 관계를 우선한다는 언급 지속.
- 2024년 러-베트남 정상회담 이후, 북-베트남의 국방 회담과 협력(군사기술, 산업, 전략연구, 국방 공업 등의 분야에서 상호 협력 👉참고 기사)
- 2025년 2월까지도 각 유관 기관들의 협력을 언급하는 내용들을 발표(👉참고 기사)
📌 베트남의 북한에 대한 스탠스는 미국의 인도-태평양 전략과 정면 충돌하는 내용이다.
📌 이러한 점들이 베트남에 대한 미국의 불신감에 영향을 주었을 것으로 추측할 수 있다. 특히, 하노이에서 미북정상회담의 기억이 남아있는 트럼프라면 북한과 베트남의 관계에 대해 재고했을 가능성이 높다.
📊 산업별 타격 분석
🧨 총 수출액 중 30%가 대미 수출일 정도로 대미 의존적인 베트남의 상황. 이번 관세 폭탄은 전방위적 충격이다.
이중에서 대미 수출 주력 분야로 꼽히는 7개의 분야를 간단하게 살펴보려고 한다.
📱 전자제품
- 대미 의존도 25~30% 추정되는 분야
- 스마트폰 수출에서 베트남이 큰 두각을 나타내기 시작
- 휴대전화·부품: 2022년 577억 달러 수출(GDP의 15%)
- 미국은 정보기술협정(ITA)에 따라 휴대전화, 컴퓨터 등 다수 전자제품에 기존 0% 관세를 적용
- 기존 0% → 46% 관세 부과 (부품류나 가전제품 등 일부 기계전기품목의 종전 MFN(최혜국) 세율이 2~5% 정도였던 것을 고려하면, 40%포인트 이상 상승)
- 전자산업은 베트남에서 외국인투자(FDI) 비중이 가장 높은 분야. 수백개의 공장이 가동 중이며, 수십만의 노동자를 고용하는 고용 창출 효과를 지닌 사업이라는 점에서 큰 타격.
🛠️ 기계 설비
- 전체 수출 10% 비중
- 대미 의존도 20~25%(업계 추산)
- 기계류 전반으로 보면 베트남의 미국 시장 점유율은 3% 내외로 평가
- 미중 무역분쟁 여파로 중국산 기계를 대체하며 성장
- 기계·설비류는 품목에 따라 미국 MFN 관세율이 0~10%로 다양했으나 평균적으로 낮음
- 이번 조치로 기존 관세 대비 수 배에서 수십 배 인상. 가격 경쟁력 상실
- 베트남은 저렴한 인건비와 미국시장 접근성을 강점으로 기계설비 분야 FDI를 끌어왔는데, 미국 관세로 이점이 사라지면 투자자가 관세 혜택이 있는 국가로 FDI 유출 가능성
👕 섬유·의류
- 베트남의 전통적인 주력 수출 분야, 미국이 최대 시장(2022년의 경우 베트남 의류 수출 367억 달러 중 대미 수출이 약 180억 달러)
- 베트남산 의류의 연간 수출액 중 약 50% 가량이 미국으로
- 미국 의류 수입시장에서는 중국에 이어 베트남이 2위 공급국
- 섬유제품 수출은 GDP 대비 비중 10.66%(2022년 기준), 500만 이상 고용 창출(약 6000개의 공장에서 직접고용 350만 이상)
- 기존 평균 관세 18.8%(의류에 비교적 높은 MFN 관세)→ 46%: 가격 경쟁력 약화
👟 신발
- 베트남의 대표적인 수출 효자 산업으로, 미국이 최대 단일시장
- 미국 신발 시장에서 베트남은 중국과 더불어 양대 공급국
- 미국이 관세를 높인 후에도 단기간에 이 격차를 메울 다른 공급처를 찾기 어려울 정도로, 베트남은 글로벌 신발 공급망의 핵심
- 전체 수출의 6.9%(2023년 기준), 대미 수출 30~35% (일부 대형 신발공장은 미국 주문 비중이 50%를 넘는 경우도)
- 나이키, 아디다스 등 베트남 생산량이 상당히 높은 대기업 → 공급망 불안
- 기존 관세 13.6% → 46% → 기존보다 3배의 세금이 붙음
- 신발은 가격 민감도가 높기에 공급망에 큰 충격
🛋️ 목재 가구
- 대미 의존도 75.8%(미국 시장 의존도는 압도적)
- 2021년 베트남의 가구 수출 140억 달러 중 약 106억 달러가 미국
- 베트남은 미국 목재가구 수입시장에서 35~40%의 점유율로 1위. 금속 가구 포함시 18% 정도로 추산
- 목재, 임산물 산업은 베트남 GDP의 약 2~3% 차지
- 베트남산 목재 가구에 지금까지 무관세(NTR)를 적용. 중국산 가구에만 25%의 관세가 부과
- 기존 무관세 → 46% → 수출 사실상 불가
- 60만 명의 고용 창출을 하던 산업 자체가 붕괴
🐟 수산물
- 수산물(어패류) 수출에서도 미국은 최대 소비시장 중 하나
- 전반적으로 베트남 수산업체의 미국 시장 의존도는 약 20%로 관세에 민감한 항목
- 미국과 베트남의 농수산무역 구조상, 미국은 베트남산 수산물을 16억 달러어치 수입하면서 미국산 수산물은 베트남에 1억 달러 미만 수출(2020년 기준)하여 베트남의 대미 흑자 품목
- 2022년 베트남은 사상 최초로 수산물 수출 110억 달러를 돌파. 당시 미국향 23%로 1위
- 새우와 팡가시우스(메콩메기를 흰살 생선 필렛으로 만든 것. 흔히 Basa라고 칭함)에서 미국 의존도가 높음
- 팡가시우스는 미생산업 보호를 이유로 종종 30~40%의 반덤핑 관세를 맞아왔음
- 팡가시우스의 경우 반덤핑 관세까지 겹치면 최대 90%까지도 도달
🚘 자동차 (빈패스트)
- 전기차 수출 초기 단계( 완성차 대미 수출은 극히 적은 비중)
- 2021년 첫 토종 자동차기업 빈패스트(VinFast)가 전기차를 미국으로 수출하면서 걸음마 단계
- 현 시점에서는 낮으나 향후 성장전략에서는 미국 비중이 상당히 높음
- 기존 2.5% → 46% → 틈새점유율조차 가져갈 여지가 사라짐
- IRA로 인해 빈패스트는 원래도 불리한 상황이었으나 관세로 이중장벽을 맞음
- 다른 글로벌 자동차기업에 베트남 투자를 고려하고 있었다고 해도 이번 조치로 철회되었을 가능성이 높음
🇻🇳 베트남의 대응
사전 대응
사실 이번 트럼프 행정부의 '상호 관세'에 베트남도 큰 여파가 있으리란 것은 우리집 강아지 룬도 짐작할 수 있었다.
지난 2~3월 간 철강, 알루미늄 분야에서 이미 한 차례 두드려 맞은 전력이 있기 때문이다.
- 이미 USTR측은 베트남을 ‘중국 우회 통로’로 간주
- 3월 13일: 공상부 장관 응우옌홍지엔(Nguyễn Hồng Diên)과 USTR 대표인 제이미슨 그리어(Jamieson Greer)의 회담이 있었음. Starlink 허가, LNG 수입, 무기 협력, 무역 흑자 해소 등 유화 제스처를 베트남 측에서 먼저 추진
- EU와의 FTA 등의 다변화를 통해 활로 모색
사후 대응
- 즉시 정부 수상 주재 정부 상임 회의 소집: 대응 전략 수립
- 공상부 차원에서 공식 서한 발송 및 상호 관세 철회 요청
- 전방위 TF(Tổ công tác về tăng cường hợp tác, chủ động thích ứng với điều chỉnh chính sách kinh tế, thương mại của Mỹ) 출범: 사실상 정부 부처 전원 참여. 단기적 대응을 넘어 중장기적 외교, 경제 전략까지
- 미국의 정책 변화 모니터링: 외교, 무역, 통화, 안보 등 다양한 분야의 대미 변화를 정기적으로 점검
- 정책 제언 및 조율: 총리에게 직접 보고하고, 필요한 경우 새로운 정책적 제안 제출
- 정보 수집과 국제 교섭: 주미 대사관을 포함한 재외 외교망을 통해 실시간 상황 업데이트
- 통합 보고 체계 운영: 매주 화요일 또는 수시로 총리에게 상황 보고
- 부수상 Hồ Đức Phớc을 대표로 미국에 파견하여 협상 시도
그러나 이미 예견되어 있던 상황임에도 선제적 조치와 후속 조치 모두 미흡하다고 밖에 볼 수 없다.
📞 트럼프-또럼의 비공식 통화… 의외의 정치 메시지
글의 초안을 잡던 시점, 갑자기 트럼프 대통령 truth social에 이런 글과 사진이 올라왔다.

- 트럼프가 베트남공산당 총비서 ‘또럼’과 직접 통화했다는 사실을 실명 및 사진과 함께 공개
- 쌍방간 0% 관세 협정 체결, 미국 기업의 투자 확대 촉진, 수입 다변화 요청, 트럼프의 베트남 방문 요청 등이 구체적으로 언급
- 정부 수상이나 공상부 장관-USTR의 담당자를 건너뛰고 대통령이 베트남의 실질적 권력인 당의 총비서와 직접 접촉: 트럼프식 정치 커뮤니케이션의 일종
- 베트남 정부의 협상 채널이 방미를 하는 시점: ‘최고 권력과는 합의했으니 실질적인 성의를 보여라’
- 베트남 입장에서, 당의 총비서가 직접적인 스탠스를 보인 것 → 전략적인 회피를 벗고 거래 중심의 실질적이고 정밀한 외교 전략으로 전환하는 신호탄??
🇨🇳 시진핑의 베트남 방문 예정
- 우선 4월 14일 예정된 시진핑 중국 국가주석의 베트남 방문까지 살펴보아야 향후 행방을 알 수 있을 듯
- 기존에 협력중이던 철도, 항공 등의 모든 분야에 베트남 동해에서의 안보 협력까지 논의할 것으로 추정됨
- 미국과 베트남 사이에 생긴 긴장을 이용해 베트남을 더 강하게 정책 파트너로 끌어들이려는 중국의 전략 → 동남아시아에서의 영향력 확대
🎯 결론: 관세는 수치가 아니라 질문이다
이 46%는 단지 ‘수치’가 아니다.
미국이 베트남에게 준 전략적 선택의 시험지다.
📌 중국·러시아, 심지어 북한과의 묵시적 동맹, 미국으로부터의 경제적 이득
→ 더 이상 ‘회색지대 외교’는 용납되지 않는다.
📌 대나무처럼 흔들릴 수는 있겠지만, 뿌리가 뽑힐 상황에서도 여전히 똑같은 전략을 취할 것인가?
이 46%라는 수치는 지금껏 전략적으로 회피해왔던 문제들이 한번에 큰 숙제가 되어 돌아온 것이다.
과연 이 질문에 베트남은 어떤 답을 택하게 될까?
같이 읽기 👇
👑 “‘0% 관세’는 덫이었다? 트럼프가 베트남을 향해 건 심리전”
📱 트루스 소셜 포스팅 속 숨겨진 의도는? 이미 며칠 전 화제가 되었던 트럼프의 트루스 소셜, '베트남공산당 총비서 또럼의 0% 관세 제의' 포스팅에 대한 이야기를 따로 한 번 다루고 싶어서
8410.tistory.com
'베트남 소식&정보' 카테고리의 다른 글
| 👑 “‘0% 관세’는 덫이었다? 트럼프가 베트남을 향해 건 심리전” (0) | 2025.04.08 |
|---|---|
| 🏛️ 고조선이 단군이라면? 베트남엔 훙브엉(Hùng Vương)이 있다! - 국조 훙브엉 제사일과 베트남인의 뿌리 (6) | 2025.04.07 |
| [요지경 베트남] 🔍 보험금을 노린 자녀 살해 사건?? 꽝남성에서 벌어진 사건의 진실은 아직 미궁 ++ 들어난 진실!!! (0) | 2025.04.04 |
| 🇻🇳 김수현 이슈, 베트남에서 다시 타오르다! | 기자회견 장면 이렇게까지? (1) | 2025.04.02 |
| 💉 "MMR 2차 접종 확인했나요? 베트남 홍역 대유행 정리" (3) | 2025.03.30 |